Rotor Uk Definition . A part that revolves in a stationary part. A part of a machine that spins, especially the device supporting the turning blades of a helicopter. Rotor meaning, definition, what is rotor: The rotating member of a machine or device, esp the armature of a motor or generator or the rotating. The revolving bar of a distributor. A part of a machine that turns around on.: The rotating member of an electrical machine. Meaning, pronunciation, picture, example sentences, grammar, usage. Definition of rotor noun in oxford advanced learner's dictionary. Definitions, pronunciations, synonyms, grammar insights, collocations, examples, and translations. (noun) the rotating armature of a motor or generator. A complete guide to the word rotor: A part of a machine that spins, especially the device supporting the turning blades of a….
from carnewsbox.com
The revolving bar of a distributor. The rotating member of an electrical machine. Definitions, pronunciations, synonyms, grammar insights, collocations, examples, and translations. A part of a machine that turns around on.: Definition of rotor noun in oxford advanced learner's dictionary. The rotating member of a machine or device, esp the armature of a motor or generator or the rotating. A complete guide to the word rotor: (noun) the rotating armature of a motor or generator. A part that revolves in a stationary part. A part of a machine that spins, especially the device supporting the turning blades of a….
Understanding the Importance of Car Rotors Car News Box
Rotor Uk Definition Rotor meaning, definition, what is rotor: A part of a machine that turns around on.: A complete guide to the word rotor: A part of a machine that spins, especially the device supporting the turning blades of a helicopter. Meaning, pronunciation, picture, example sentences, grammar, usage. Definition of rotor noun in oxford advanced learner's dictionary. A part of a machine that spins, especially the device supporting the turning blades of a…. (noun) the rotating armature of a motor or generator. Rotor meaning, definition, what is rotor: The revolving bar of a distributor. The rotating member of an electrical machine. The rotating member of a machine or device, esp the armature of a motor or generator or the rotating. A part that revolves in a stationary part. Definitions, pronunciations, synonyms, grammar insights, collocations, examples, and translations.
From license.umn.edu
A novel Vertical Axis Wind Turbine (VAWT) available from Technology Rotor Uk Definition A part that revolves in a stationary part. The rotating member of an electrical machine. Rotor meaning, definition, what is rotor: Definitions, pronunciations, synonyms, grammar insights, collocations, examples, and translations. A part of a machine that spins, especially the device supporting the turning blades of a…. A part of a machine that spins, especially the device supporting the turning blades. Rotor Uk Definition.
From www.chegg.com
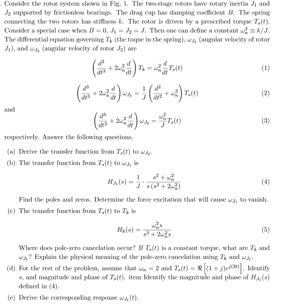
Consider the rotor system shown in Fig. 1. The Rotor Uk Definition The rotating member of an electrical machine. (noun) the rotating armature of a motor or generator. A part of a machine that turns around on.: The revolving bar of a distributor. The rotating member of a machine or device, esp the armature of a motor or generator or the rotating. Definition of rotor noun in oxford advanced learner's dictionary. A. Rotor Uk Definition.
From www.cmsnl.com
ROTOR for CB400F ENGLAND order at CMSNL Rotor Uk Definition Meaning, pronunciation, picture, example sentences, grammar, usage. The revolving bar of a distributor. A part of a machine that spins, especially the device supporting the turning blades of a…. A part of a machine that turns around on.: The rotating member of an electrical machine. Rotor meaning, definition, what is rotor: A part that revolves in a stationary part. Definition. Rotor Uk Definition.
From mavink.com
Types Of Main Rotor System Rotor Uk Definition Definitions, pronunciations, synonyms, grammar insights, collocations, examples, and translations. The revolving bar of a distributor. The rotating member of a machine or device, esp the armature of a motor or generator or the rotating. (noun) the rotating armature of a motor or generator. Rotor meaning, definition, what is rotor: A part of a machine that spins, especially the device supporting. Rotor Uk Definition.
From www.ventpro.co.th
Rotary Heat Exchanger VentPro Building Ventilation Rotor Uk Definition A part of a machine that turns around on.: Definitions, pronunciations, synonyms, grammar insights, collocations, examples, and translations. (noun) the rotating armature of a motor or generator. Definition of rotor noun in oxford advanced learner's dictionary. The rotating member of a machine or device, esp the armature of a motor or generator or the rotating. A part of a machine. Rotor Uk Definition.
From www.researchgate.net
Rotor current definition. Download Scientific Diagram Rotor Uk Definition A part of a machine that spins, especially the device supporting the turning blades of a helicopter. (noun) the rotating armature of a motor or generator. The rotating member of an electrical machine. A part of a machine that turns around on.: The rotating member of a machine or device, esp the armature of a motor or generator or the. Rotor Uk Definition.
From www.autoexpose.org
Knowing Parts Of Simple Electric Motor And Their Function AutoExpose Rotor Uk Definition Rotor meaning, definition, what is rotor: Meaning, pronunciation, picture, example sentences, grammar, usage. Definition of rotor noun in oxford advanced learner's dictionary. The rotating member of an electrical machine. Definitions, pronunciations, synonyms, grammar insights, collocations, examples, and translations. A part that revolves in a stationary part. The revolving bar of a distributor. (noun) the rotating armature of a motor or. Rotor Uk Definition.
From spearsenterprises.com
What Is A Full Floating Brake Rotor Spears Enterprises/Spears Racing Rotor Uk Definition A part of a machine that spins, especially the device supporting the turning blades of a helicopter. The rotating member of an electrical machine. Definitions, pronunciations, synonyms, grammar insights, collocations, examples, and translations. A complete guide to the word rotor: Rotor meaning, definition, what is rotor: A part of a machine that spins, especially the device supporting the turning blades. Rotor Uk Definition.
From www.machinery.co.uk
Largest ever rotors manufactured in UK Rotor Uk Definition Definition of rotor noun in oxford advanced learner's dictionary. (noun) the rotating armature of a motor or generator. The rotating member of a machine or device, esp the armature of a motor or generator or the rotating. A part of a machine that spins, especially the device supporting the turning blades of a helicopter. The revolving bar of a distributor.. Rotor Uk Definition.
From www.dronefromchina.com
Talk about inner outer rotor brushless drone rotor Rotor Uk Definition The rotating member of an electrical machine. Meaning, pronunciation, picture, example sentences, grammar, usage. A part of a machine that spins, especially the device supporting the turning blades of a…. A part of a machine that spins, especially the device supporting the turning blades of a helicopter. (noun) the rotating armature of a motor or generator. Rotor meaning, definition, what. Rotor Uk Definition.
From rerev.com
How long do rotors last? — signs when to replace rotors REREV Rotor Uk Definition A complete guide to the word rotor: Meaning, pronunciation, picture, example sentences, grammar, usage. Definitions, pronunciations, synonyms, grammar insights, collocations, examples, and translations. A part of a machine that spins, especially the device supporting the turning blades of a…. Rotor meaning, definition, what is rotor: The rotating member of an electrical machine. A part that revolves in a stationary part.. Rotor Uk Definition.
From carnewsbox.com
Understanding the Importance of Car Rotors Car News Box Rotor Uk Definition Definitions, pronunciations, synonyms, grammar insights, collocations, examples, and translations. A complete guide to the word rotor: A part of a machine that turns around on.: A part of a machine that spins, especially the device supporting the turning blades of a…. A part of a machine that spins, especially the device supporting the turning blades of a helicopter. (noun) the. Rotor Uk Definition.
From www.satisfactorytips.com
Efficient Layouts All Rotor & Stator Recipes Satisfactory Tips Rotor Uk Definition Meaning, pronunciation, picture, example sentences, grammar, usage. A part that revolves in a stationary part. The rotating member of a machine or device, esp the armature of a motor or generator or the rotating. A part of a machine that spins, especially the device supporting the turning blades of a…. The revolving bar of a distributor. (noun) the rotating armature. Rotor Uk Definition.
From journals.sagepub.com
Design, development, and flight testing of a tubelaunched coaxial Rotor Uk Definition The rotating member of a machine or device, esp the armature of a motor or generator or the rotating. Rotor meaning, definition, what is rotor: A complete guide to the word rotor: The revolving bar of a distributor. A part of a machine that turns around on.: A part of a machine that spins, especially the device supporting the turning. Rotor Uk Definition.
From www.mdpi.com
Applied Sciences Free FullText Multidisciplinary Aerodynamic Rotor Uk Definition A part that revolves in a stationary part. Definition of rotor noun in oxford advanced learner's dictionary. Definitions, pronunciations, synonyms, grammar insights, collocations, examples, and translations. The rotating member of a machine or device, esp the armature of a motor or generator or the rotating. A part of a machine that spins, especially the device supporting the turning blades of. Rotor Uk Definition.
From truckcustomizers.com
How to Measure Rotor Thickness Rotor Uk Definition A part of a machine that spins, especially the device supporting the turning blades of a helicopter. The rotating member of a machine or device, esp the armature of a motor or generator or the rotating. A part of a machine that spins, especially the device supporting the turning blades of a…. Meaning, pronunciation, picture, example sentences, grammar, usage. Definition. Rotor Uk Definition.
From webmotor.org
What Is Rotor Inertia Of A Motor Rotor Uk Definition (noun) the rotating armature of a motor or generator. A part of a machine that spins, especially the device supporting the turning blades of a helicopter. A complete guide to the word rotor: A part that revolves in a stationary part. Meaning, pronunciation, picture, example sentences, grammar, usage. The revolving bar of a distributor. Definitions, pronunciations, synonyms, grammar insights, collocations,. Rotor Uk Definition.
From aviation.stackexchange.com
How does a bearingless rotor work on a helicopter? Aviation Stack Rotor Uk Definition (noun) the rotating armature of a motor or generator. Meaning, pronunciation, picture, example sentences, grammar, usage. A complete guide to the word rotor: A part that revolves in a stationary part. Definitions, pronunciations, synonyms, grammar insights, collocations, examples, and translations. The rotating member of a machine or device, esp the armature of a motor or generator or the rotating. Rotor. Rotor Uk Definition.